1 基本原理#
級聯積分コームフィルター(Cascade Intergrator Comb)は、多速率信号処理において非常に効率的なデジタルフィルターです。CIC フィルターはローパスフィルターの特性を持ち、以下の利点があります:
- フィルター係数がすべて 1 であり、設計時にフィルター係数を保存する必要がなく、ストレージユニットを節約します。また、フィルタリング時には加算器と加算器のみが必要で、乗算器は不要です。
- 構造が規則的であり、全体の構造に影響を与えずに補間因子を柔軟に設定できます。
1.1 積分器#
積分器の構造は

時域では次のように表されます
y1(n)=x(n)+y1(n−1)
周波数域では次のように表されます
H1(ejw)=1−e−jw1
積分器の振幅スペクトルは次のようになります
H1(ejw)=1−e−jw1=e−jw/2(ejw/2−e−jw/2)1=2sin(2w)1
この公式から、積分器は極点 $(\omega = 2k \pi,k は整数)$ のみを持ち、零点は持たず、直流信号に対して無限大の増幅を持つことがわかります。

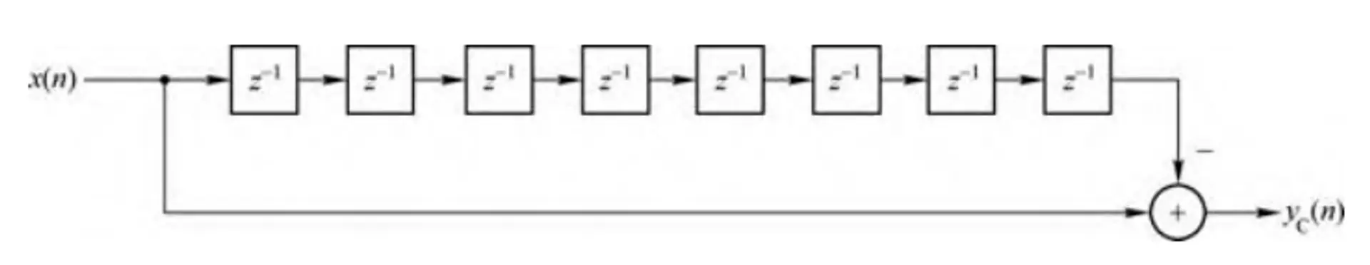
1.2 コームフィルター#
時域では次のように表されます
yC(n)=x(n)−x(n−RM)
ここで
周波数域では次のように表されます
HC(z)=1−z−RM
振幅スペクトルは次のようになります
HC(ejw)=1−e−jRMw=e−jRMw/2(ejRMw/2−e−jRMw/2)=2sin(2RMw)

コームフィルターは零点のみを持ち、極点は持たないことがわかります。
R=8、M=1 の場合、構造は次のようになります

これにより、単一級 CIC フィルターの振幅スペクトルは次のようになります
HCIC(ejw)=H1(ejw)⋅HC(ejw)=sin(2w)sin(2RMw)
$\mathrm {RM\omega}/2=\mathrm {k}:\pi $ のとき、すなわち $w=\frac {2k\pi}{RM}\quad (k=\pm1,\pm2,\cdots,\pm (RM-1))$ のときに零点を決定できます。
$\omega /2 =k\pi$、すなわち $\omega = 2k\pi$ のとき、このときの振幅周波数応答は次のようになります
HCIC(ejω)ω=2kπ=RM
これにより、零点と極点が相殺されます。
単一級 CIC フィルターは $\omega =0$ のとき $\left| H_{CIC}(e^{j\omega}) \right|=RM$ であるため、主瓣の範囲は $\begin {bmatrix} 0,\frac {2\pi}{RM}\end {bmatrix}$ であり、残りはすべて副瓣で、第一副瓣レベルは次のようになります
A1=HCIC(ejw)w=RM3π=sin(21×RM3π)sin(2RM×RM3π)=sin(2RM3π)1
したがって、副瓣抑制は次のようになります
A=RMsin(2RM3π)
$\mathrm {R}\rightarrow\infty $ のとき、副瓣抑制は次のようになります
A=20lg(R→∞limA)=20lg(23π)=13.46dB
単一級 CIC フィルターの阻止帯減衰は次のようになります
α=−20lgb
通帯リップル(通帯波紋)は次のようになります
δ=20lgsin(bπ)bπ
ここで、b は帯域幅比因子です。
b=fs/(RM)B
単一級 CIC フィルターの副瓣レベルは高いため、複数級 CIC の級聯によって改善できます。
H(ejw)=sin(2w)sin(2RMw)N

N 級 CIC 級聯フィルターに対して、副瓣抑制、阻止帯減衰、通帯リップルは次のように表されます
⎩⎨⎧AN=13.46NdBαN=−20NlgbδN=20Nlgsin(bπ)bπ
CIC フィルターの階数を増やすと、副瓣抑制と阻止帯減衰を増加させることができますが、通帯リップルが大きくなります。したがって、通帯性能を考慮して、通常は $N\leq5$ を選択します。N が不変の場合、帯域幅比因子 b が小さいほど、CIC フィルターの通帯と阻止帯特性も良くなります。したがって、CIC は通常、補間システムの最後の段階に位置します(入力レートが最も高い)。
2 ビット増加問題#
多級フィルターの振幅周波数応答から、$\omega \rightarrow 0$ のとき
w→0limH(ejw)=w→0lim21⋅cos(w/2)2RM⋅cos(RMw/2)N=(RM)N
これにより、多級 CIC フィルターによって引き起こされる振幅増益の最大値は次のようになります
Gmax=(RM)N
入力データ $x (n)$ が符号付き数で、ビット幅が $B_{in}$、値の範囲が $[-2^{B_{in}-1},2^{B_{in}-1}-1]$ の場合、出力 $y (n)$ の最大値は次のようになります
ymax=−2Bm−1⋅(RM)N
したがって、出力の最大ビット幅は次のようになります
Bout=ceil[log2∣ymax∣]+1=N⋅ceil[log2(RM)]+Bin
FPGA 設計時には、出力信号のビット幅を適切に設定し、データのオーバーフローを防ぐ必要があります。リソースを節約するために、各段階で適切にビットを切り捨てることもできます。
3 Matlab での CIC 補償フィルター設計#
CIC フィルターは通帯内が平坦でないため、前段に CIC 補償フィルターを追加する必要があります。Matlab の対応する関数はfdesign.ciccompで、構文は次のようになります。
d = fdesign.ciccomp
d = fdesign.ciccomp(d,nsections,rcic)
d = fdesign.ciccomp(...,spec)
h = fdesign.ciccomp(...,spec,specvalue1,specvalue2,...)
ここで、コームフィルターの遅延長は d、フィルターの階数は nsections、CIC レート変換因子は rcic です。
3.1 例#
h = fdesign.ciccomp;
set(h,NumberOfSections=5,DifferentialDelay=1);
cicComp = design(h,'equiripple',SystemObject=true);
filterAnalyzer(cicComp)